Permutations theory + examples
A permutation is an ordering of a list of objects. For example, arranging four people in a line is equivalent to finding permutations of four objects. More abstractly, each of the following is a permutation of the letters a,b,c, and d:
→ a, b, c, d
→ a, c, d, b
→ b, d, a, c
→ d, c, b, a
→ c, a, d, b.

Q. Lisa has 5 different ornaments she wants to arrange in a line on her mantle. How many ways can she arrange the ornaments?
Solution
We can think of Lisa’s mantle as having five positions in a line. There are 5 ornaments, which gives 5 choices for which ornament goes into the first position. After placing the first ornament, there are 4 choices of which ornament to put into the second position. Repeating this argument, there are 3 choices for the third position, 2 choices for the fourth position, and 1 choice for the last position. The total number of ways to place the ornaments is
5×4×3×2×1=120.
Q. Jack is playing with a standard deck of 52 playing cards. He shuffles the cards and then turns the top card over to show an ace of spades. If he continues to deal the cards from the top of the deck, how many different permutations are there for the remaining cards in the deck?
Solution
Since the first card is already turned over, there are 51 remaining distinct playing cards in the deck. Then there are 51! different permutations of the remaining cards.
Q. Suppose Ellie is choosing a secret passcode consisting of the digits 0,1,2,…,k for some k ≤ 9. She would like her passcode to use each selected digit exactly once and because she is concerned about security, she would like to choose a value of k such that the number of possible permutations is at least 250,000. What is the smallest value of k Ellie can use?
Solution
Answer: k = 8
5! = 120
6! = 720
7! = 7×720 = 4900 + 140 = 5040
8! = 8×5040 = 40000 + 320 = 40320
9! = 40320×9 = 360000 + 2700 + 180 = 362880.
Therefore, Ellie needs at least 9 digits in her passcode. Since the digits start from 0, the smallest value of k Ellie can choose is k=8.
Q. How many 5-digit numbers without repetition of digits can be formed using the digits 0, 2, 4, 6, 8?
Solution
The number of possibilities of ten-thousandth digit = 4 (0 is excluded because then the number does not become a 5-digit number)
The number of possibilities of thousandth digit = 4 (one digit gone but 0 included)
The number of possibilities of hundredth digit = 3 (two digits gone)
The number of possibilities of tenth digit = 2 (three digits gone)
The number of possibilities of units digit =1 (four digits gone)
∴ Number of 5-digit numbers required = 4×4×3×2×1=96
Alternative approach
The five numbers can be arranged in 5! times = 120.
And If zero is in front it is not considered as a five digit number, So keeping zero at first, The remaining four numbers can be arranged by 4! = 24.
Therefore, Number of five digit numbers made using the numbers, =120−24= 96.
Q. How many 3-digit numbers can be formed without repetition of digits?
Solution
The hundredth place cannot contain 0, but we can put any of the other numbers in the hundredths place. So, it can be filled in 9 ways. Now we cannot use the number we used in the hundredths place in the tenth place. But we can use 0. So, we can fill the tenth place in 9 ways, too. The units digit can be filled in 8 places since two numbers are now unavailable. So, the total number of 3-digit numbers without repetition of digits that can be formed is 9×9×8 = 648.
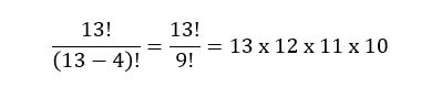
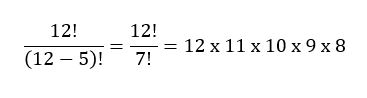
Q. Suppose Lisa has 13 different ornaments and would like to place 4 of the ornaments in a row on her mantle, and Anna has 12 different ornaments and would like to place 5 of the ornaments in a row on her mantle. Does Lisa have more choices in the possible number of ways to place her ornaments or does Anna?
Solution
Since Lisa has 13 ornaments and would like to place 4 of them on her mantle, she has

choices in the possible number of ways to place her ornaments. Similarly, since Anna has 12 ornaments and would like to place 5 of them on her mantle, she has

choices in the possible number of ways to place her ornaments. Now,
13×12×11×10 < 12×11×10×9×8
since by canceling terms, we can see that 13 < 9×8. This shows that Anna has more choices in the possible ways to place her ornaments.
Q.
How many arrangements can be made out of the letters of the word “BRILLIANT”?
Solution
In the given word “BRILLIANT”, there are 9 letters. The letters I and L are repeated twice.
The number of arrangements that can be made out of the letters of the word “BRILLIANT” is given by:

Given a permutation problem, how do we determine which category the problem falls under and which technique should be applied to solve the problem? It may be useful to first ask yourself a few questions:
- Are the objects all distinct?
- How many objects are there in total?
- How many objects are we asked to place into an ordering?
- Are there any restrictions on the objects or on the ordering?
